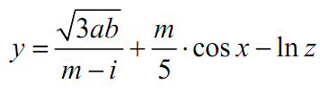
Oпределениe значения функции в точке

536
.

Ребят если кто то шарит в Си помогите.
________________________________________

Составить программу определения значения функции в точке. В программе предусмотреть реализацию трех подпрограмм:
1) Обеспечивает ввод информации.
2) Обеспечивает вычисление необходимой величины.
3) Вывод результатов.

Передачу параметров между функциями организовать без использования глобальных перемен

Прикрепленные файлы:
.
Нормально делай - Нормально будет

задание как то непонятно написано как я понял тупо так:
инт а,б,х,з,м,и;
саут>>"введите через пробел а,б,х,з,м,и";
син<<а<<б<<х<<з<<м<<и;
саут>>"формула="ендл;
хх=формула на языке си;
саут>>хх;

Всего: 2