Проверьте линейный алгоритм

618
.
Артёмочка
Правильно ли составлены линейные алгоритмы?
вот что я сделал
Program Artem1;
Uses crt;
Var M,a,b:real;
Begin
Writeln('a=');
Readln(a);
Writeln('b=');
Readln(b);
M:=(exp(3+ln(sin(a)))+cos(2*sqrt(b)))/(exp(b+2*a)+5*ln(b/(3*a)));
Writeln('M=', M:2:2);
end.

Program Artem2;
Uses crt;
Var Z,a,b,c:real;
Begin
Writeln('a=');
Readln(a);
Writeln('b=');
Readln(b);
Writeln('c=');
Readln(c);
Z:=(-b+sqrt(exp(2)*b-4*a*c)/(2*a));
Writeln('Z=', Z:2:2);
end.


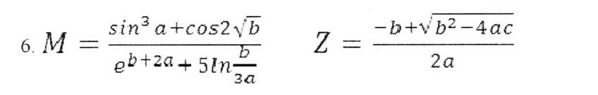
вот скрин самих уравнений
Прикрепленные файлы:
.
Артёмочка
чё нет некого кто хоть что-то помнит с паскаля?))
.
БаРаБаШкА
норм всё
Всего: 3